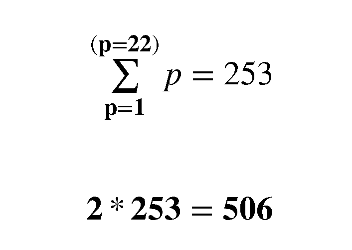
The numeric values of the Letters in the First Row of God’s (Lower) 42 Letter Name, are 1, 2, 3, 10, 400, and 90.
These values sum to 506

Double the 506 is 1012.
This value, 1012 was selected as the date (October 12th ), as the date for The Bali Bombing.
Our 10-Dimensional Universe Is Held Withhin an 11-Dimensional Matrix”
The equation below, is a strong pointer to connections between the First Row of The 42 Letter Name of God, and the structure of our Universe.

The 22 Letter Hebrew-Aramaic Alphabet
