The 10-Word “Packaging” around the Central 42 Words

Linking To The 72 Camelot (The 72 Triplets)
God “stored” and Coded the 216 Letters of The 72 Triplets in three successive Torah verses, Exodus .14: 19-21. Each verse has 72 Letters

The Letters of Exodus 14:19 are the 72 “First Letters: of the 72 Triplets. Those 72 Letters have a total value of 2,672. This is the same value as the first 5 Words (1,998) and last 5 Words (674) of Day One, cf. the Spreadsheets on this webpage.
Exodus 14:19 Verse Value 2,672

God did some fancy mathematics when He “divided” the total values of The 72 Camelot (9,143) into THREE Verses *2,672, then 3,043, and then 3,428 for the last of The Three Versesm i.e. Exodus 14: 19, 20 and 21,
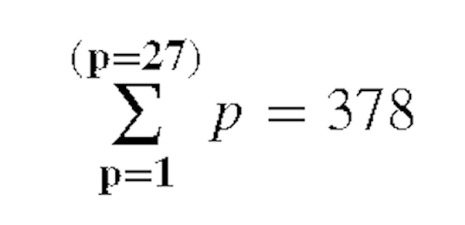
The 2,672 and 3,428 are exactly 378 Less than, and 378 More than 3,050.
The value of God’s magic Cube of 42, is exactly 378. The “Spread” from 2,672 to 3,428 is 756. This is the Length (in Feet) of the Base Length Sides of The Square Grid in which, or on which, The Great Pyramid sits. (The exact Length of The Southern Side of The Pyramid, is 756 Feet and 3 Inches.
Jesus’ Resurrection, The Pyramid, Moses’ Stff — ALL LINKED


And Jesus’ Mother Naria (Mariam, Mary) Links Cana to The 72 Triplets, and to the First Day of The Genesis Week.
“Water into Wine’ IS LINKED TO THE COMMUNION SERVICE” AND JESUS’ REDEMING HUMANITY fron Eve;s fall. This is why Jesus addressed His Nother as “WOMAN” (Eve) at the Wedding Feast in Cana.
Exploring Patterns In The Central 42 Words
