What Is A Parashah (Torah (Section)?
The Chapters in The Torah are a Christian “addition”. The verses were in the Torah since the time when God dictated them to Moses. (There are different theories about the final verses of the Torah, the ones describing Moses’ death. One theory is that God dictated them to Moses before he died. The other theory is that someone close to Moses, e.g. Joshua, received them from God. Either way, the superhuman mathematics and Database structure is in ALL of the Torah, final verses included.
A Parashah is one of the 54 sections into which the Torah is divided. Each section or Parashah has a set number of verses. The longest Parashah has 176 verses. The 176 is connected with, among other things, the 1,760 yards in a Mile.
The 54 Parashot (plural of Parashot) are connected to the 54 Lights in The Grand Galllery of The Great Pyramid and the 2,160 Mile Diameter of our Moon. That does not necessarily mean that God built The Moon. It could have been some “E.T. with his or her own agenda. But the Mathematics and Numerics of The Moon, The Torah and The Great Pyramid clearly have links.

The Moon Diameter 2160 Miles
2160 = 40 * 54
Also
216 Letters In The 72 “Camelot”
(72 Triplets)
As per the Tables/Lists of Parashot below, the are 54 Parashot in The Torah:
12 + 11 + 10 + 10 + 11 = 54
In The Book of Genesis (Bereshith)

In The Book of Exodus (Shemot)

In The Book of Leviticus (Vayikra)

In The Book of Numbers (Bamidbar)

In The Book Of Deuteronomy (Devarim)

The 54 “Light Sockets” In The Grand Gallery (Great Pyramid)
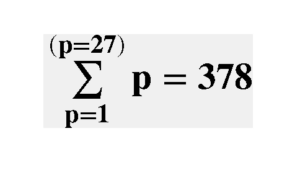
There are 27 pairs (one on each side) of “Light Sockets in the Grand Gallery of The Great Pyramid of Giza. The “Lights” are mow gone. They appear to have been powered by the movement of air or energy vibration, in, or along, The Grand Gallery.
The sum of the numbers from 1 to 27, is 378. So the sums of the two sets of the Lights, or their “numbering”, is twice 378. This is the same gigure as the 756 feet (in the 756 feet and 3 inches) length of the sides of the square grid in which the Pyramid “sits”.


2 * 378 = 756
The Base Length of the Square Grid in which The Great Pyramid “sits”, and the exact Length of The Pyramid’s southern side, is 756 Feet (and 3 Inches).
On the Day of Jesus’ Resurrection, He went (late afternoon) to Emmaus, a Centre for advanced Torah Scholarshio and Expertise. The value of the name Emmaus (in Greek) is 756

756 is 6 times 126, as in 1/26 (Australia Day and the founding of modern Australia).
