52 Words In Day One Of Genesis

The FIRST Five and the LAST Five Words of Day One, have the values 1998 and 674.
1998 plus 674 is 2672. This is the value of the 72 First Letters of The 72 Camelot.
Where God “stashed” the “Source Code” for The 72 Triplets..
The three successive Verses, Exodus 14: 19 -21, each have exactly 72 Letters.r
The values of The 72 Letters in each of these successive verses is;
2672 3043 3428
THE TOTAL VALUE IS
9143
God Does Some Fancy Maths With The 72 Triplets

God “started” by dividing the 9,143 total value of The 72 Triplets (The 72 Camelot) very Symmetrically, , into 3,050, 3,043, and another 3,050. (Ab0ve graphic).
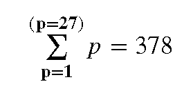
NOW Comes the “Fancy Fiddle”. Those 3,050’s are varied, by subtracting or adding, the value 378.

th The Base Length of the southern side of The Great Pyramid of Giza is 756 Feet and 3 Inches.
378 * 2 = 756
3,428 – 2,672 = 756

On The Day Of Jesus’ Resurection
On the afternoon of His Resurrection Day, Jesus walked with two of His Disciples, to the village of Emmaus. Emmaus r was a Centre for advanced Torah study.

There are connections bwtween Jesus’ role as High Priest of Humanity, the 112 Triplets, The Staff which God gave to Adam, which Moses used, which is the real Excalibur of the Camelot stories, Jesus and The Great Pyramid
The numeric value of the 6Faces of God’s Magic Cube of 42, is 756 (Twice 378), i.e. 126 for each of the 6 Faces.